Archäometeorologie (Astro-Paläometeorologie)
von William R. Corliss (2000)
Altertümliche Bauern auf der ganzen Welt zählten die Jahreszeiten ein [orig.: counted off [1]; d.Ü.] und legten Pflanzzeiten fest, indem sie die Sterne und die Sonne beobachteten. Aber die Sterne können auch helfen, das Wetter vorherzusagen, obwohl sie gar keinen Einfluss darauf haben. Diese einzigartige Form der Archäoastronomie werden wir 'Archäometeorologie' nennen. [2]
Bäuerliche Astronomen in den von Dürre bedrohten Regionen der Anden lernten, wie es nach Jahrhunderten, die sie beobachtet hatten, Regenvorhersagen aus Beobachtungen der Plejaden zu ziehen. Diese Information erlaubte es ihnen, die Pflanzung von Kartoffeln - ihrer wichtigsten Ernte - besser zu planen.
Das astronomische Phänomen, das sie einsetzten, ist alles andere als offensichtlich. Die Plejaden sind eine Ansammlung heller Sterne im Sternbild Stier. Die Sichtbarkeit dieser Sterne variiert leicht in Abhängigkeit von der Menge an subvisuellem Zirrus. Wenn die Plejaden im Monat Juni bedeckt waren, wussten die Andenbauern aus Erfahrung, dass ein El Niño unterwegs war. Dies führte zu reduziertem Niederschlag und sagte ihnen, dass sie die Anpflanzung ihrer Kartoffeln um 4-6 Wochen verschieben sollten, um die besten Erträge zu erzielen.
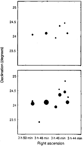
Die entscheidenden Beobachtungen wurden zwischen dem 13. und 24. Juni gemacht, wenn die Plejaden kurz vor Sonnenaufgang über dem nordöstlichen Horizont hell erstrahlen. Bei diesem niedrigen Winkel hat das Vorhandensein subvisueller Zirruswolken eine offensichtliche Auswirkung auf die Helligkeit der Sterne in dem Cluster, wie in der Abbildung (Abb. 1) gezeigt. Einige der kleineren Sterne scheinen vollständig zu verschwinden. Der Sichtbarkeitseffekt selbst ist eher subtil. Es ist bemerkenswert genug, dass er überhaupt von den alten Völkern bemerkt wurde, noch mehr aber, dass diese eine undeutliche Verbindung zum zukünftigen Wetter herstellten. [3] [...]
Anmerkungen und Quellen
Dieser Beitrag von William R. Corliss erschien erstmals in Science Frontiers Nr. 128, März - April 2000, unter dem Titel "Archeometeorology"; Übersetzung ins Deutsche durch Atlantisforschung.de sowie redaktionelle Bearbeitung nach der online gestellten Version des Artikels bei science-frontiers.com im Juli 2018.
Fußnoten:
- ↑ Anmerkung des Übersetzers: Für die im amerik. Englisch nach wie vor gebräuchliche zusammengesetzte Verb count off kommt hier zur stimmigen Übersetzung offenbar nur das längst veraltete deutsche Tätigkeitswort einzählen in Frage, wobei dann eine Zählung der Tage zur Bestimmung der Dauer einer Jahreszeit gemeint ist.
- ↑ Red. Anmerkung: Terminologisch weniger missverständlich wäre es unserer Ansicht nach, hier von Paläoastronomie und (astronomischer) Paläometeorologie bzw. Astro-Paläometeorologie zu sprechen.
- ↑ Siehe: Benjamin S. Orlove et al., "Forecasting Andean Rainfall and Crop Yield from the Influence of El Nino on Pleiades Visibility", in: Nature, 403:68, 2000
Bild-Quelle:
